【研究背景】 近年来,固态卤化物电解质(A3MX6,A=Li,Na, M=trivalent metal ions, X= F, Cl, Br, I) 由于其高离子电导率、宽电化学窗口和高电压稳定性而引起了人们的研究兴趣。为推进卤化物固态电池的发展,加拿大西安大略大学孙学良院士课题组聚焦卤化物固态电解质的合成和界面设计, 取得了一系列进展,相关研究成功陆续发表在国际顶尖杂志Energy Environ. Sci., 2019,12, 2665-2671; Angew. Chem. Int. Ed. 2019, 58, 16427. J. Am. Chem. Soc. 2020, 142, 15, 7012–7022; Energy Environ. Sci., 2020,13, 1429-1461; Nano Lett. 2020, 20, 6, 4384–4392; Nano Energy, 2020, 75 105036; Nano Energy, 2020, 76, 105015; Acc. Chem. Res. 2021, 54, 4, 1023–1033;Adv. Energy Mater., 2021, 2100836; Sci. Adv. 7, eabh1896 (2021)。 该课题首次发现了Li3InCl6.6H2O的配合物,抑制了InCl3在热解过程中In-O-Cl杂质的生产,成功地从水相中合成出Li3InCl6 (Angew. Chem. Int. Ed. 2019, 58, 16427) 。该液相法可以成功地用于规模化电解质的成产(公斤级电解质)。但是,这个方法只限于合成Li3InCl6,对于其它的卤化物电解质(例如,Li3YCl6等)并不能从水相中直接合成;原因在于水相合成中产生的中间体(水合卤化物(MX3.nH2O))在热解过程中极易变成M-O-Cl杂质,因此从水相合成固态卤化物电解质极具挑战性。
【工作介绍】 为克服卤化物前驱体(MX3.nH2O)在热解过程中的变成M-O-Cl杂质,近日,加拿大西安大略大学孙学良院士课题组联合国联汽车动力电池研究院(国家动力电池创新中心)王建涛教授等人提出了一种通用的铵辅助湿化学法来合成固态卤化物电解质。研究发现铵根离子会和三价金属卤化物形成一个中间体(NH4)3[MCl6],在热解过程中成功地抑制M-O-Cl杂质的生成。工业上,这个铵辅助的化学(a.k.a, ammonium chloride route)已经广泛地用来生产生产无水MCl3。另外,铵辅助的湿化学是一个通用的策略,可以在液相中得到各种各样的卤化物电解质,本研究中作者通过的通过铵辅助的湿化学合成得到了高纯度的Li3YCl6,Li3YBr6, Li3ErCl6, Li3ScCl6, 其室温离子导可高达1mS/cm。更有趣的是,研究发现微应变引起的局部微观结构变化有利于卤化物电解质中的 Li+ 传输。此外,通过将混合的电子/离子导电界面转变为 Li+ 导电界面,克服了卤化物电解质和锂金属之间的界面不相容性。基于卤化物的全固态锂金属电池(ASSLMB)显示出 139.1 mAh g-1 的高初始容量和98.1% 的首次库仑效率(基于 LiCoO2 )。另外,采用单晶 LiNi0.6Mn0.2Co0.2O2 的 全固态锂金属电池的首次放电比容量高达166.9 mAh g-1 。这项工作从材料合成和界面设计的角度为开发卤化物基全固态金属锂电池提供了通用的策略。该文章发表在国际顶级期刊Science Advances上,王长虹博士和梁剑文博士为本文共同第一作者。
【内容表述】 受传统“卤化辅助路线”的启发,以NH4Cl为配位剂生产高纯无水MCl3,我们特意在溶剂中加入NH4Cl与YCl3配位形成(NH4)3[YCl6]中间体,.在随后的热分解过程中,LiCl 与 (NH4)3[YCl6] 反应生成 Li3YCl6。以下是反应路线:

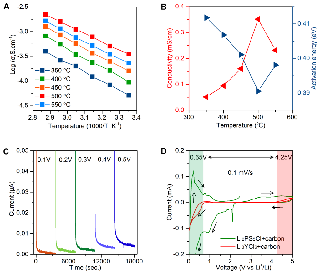
M3+代表三价Y3+、Sc3+、Er3+等,溶剂采用的是资源丰富且环保的去离子水。X 射线衍射鉴定确定了中间体(NH4)3[YCl6]的存在。合成中形成的复合物(NH4)3[YCl6].3LiCl可以在 400℃左右完全分解(图 1A)。低于400℃的大吸热峰与铵分解有关,而高于400℃的小吸热峰表明形成了Li3YCl6相。根据 TGA-DSC 结果,复合氯化物在 Ar 气氛下在 350、400、450、500 和 550 ℃ 下退火 5 小时。从不同温度合成的Li3YCl6分别命名为Li3YCl6-350、Li3YCl6-450、Li3YCl6-500和Li3YCl6-550。这些 Li3YCl6 样品的 XRD 图案显示在图 1B 中。在 350 ℃ 加热后,得到的粉末含有大量 LiCl 前驱体,几乎没有 Li3YCl6,表明 350 ℃ 不足以完全分解中间体 (NH4)3[YCl6] 或形成 Li3YCl6 相。加热到 400 ℃以上,通过 XRD 观察到 LiCl 和 Li3YCl6,表明 LiCl 与 (NH4)3[YCl6] 部分反应。进一步将加热温度提高到 450 ℃ 以上,主要显示 Li3YCl6 的 XRD 特征,其中 LiCl 的特征峰在 34.55o(由绿色条突出显示)被显着抑制。Li3YCl6-500 和 Li3YCl6-550 的 XRD 结果表明,在较高温度下热处理可以提高 Li3YCl6 的结晶度并减少 LiCl 杂质。然而,正如之前的研究 (19) 所建议的那样,高结晶度可能对其离子电导率不利。图 2C 显示了 Li3YCl6-500 的慢扫描 XRD 图和 Rietveld 精修结果。Li3YCl6 由六方密堆积 (hcp) 阴离子排列和三角 P-3m1 空间群 (ICSD No. 04-009-8882) 组成,所有阳离子都位于八面体中心。XRD 精修结果还表明 LiCl 杂质的含量约为 4.3 wt%。

图 1. 湿化学 Li3YCl6 的合成和结构分析。(A) (NH4)3[YCl6]3LiCl 复合材料的 TGA-DSC 曲线。(B) 在不同温度下退火的 Li3YCl6 的 XRD 图。(C) 慢扫描 Li3YCl6-500 的 Rietveld 精修。(D) 威廉姆森-霍尔图。(E) 从 XRD 精修获得的湿化学 Li3YCl6 的晶体结构。
合成的 Li3YCl6-500 的粒径约为 400 nm,而结晶尺寸仅为 159.11 nm(图 1D)。众所周知,由于晶格中的局部扰动或缺陷形成,小尺寸效应会在材料中引起局部微应变。为了理解微应变对制备的卤化物电解质离子电导率的影响,通过威廉姆森霍尔方法量化了Li3YCl6 中的微应变(0.118%)。更有趣的是,Li4-Cl1、Li4-Cl3 和 Li4-Cl3 的键长被拉长。这些被拉长的 Li-Cl 键会加速锂离子沿 ab 平面的传输(图 1D),从而增加离子电导率(表 S3)。

图2. 湿化学法合成的Li3YCl6的电化学性质。(A) 在不同温度下退火的湿化学 Li3YCl6 的阿伦尼乌斯图。(B) 与温度有关的室温离子电导率和活化能。(C) 湿化学 Li3YCl6 的 DC 极化曲线,使用对称电池配置,具有 0.1-0.5 V 的不同电压偏置。(D) Li6PS5Cl 和湿化学 Li3YCl6 之间的 CV 曲线比较(工作电极侧由 80 wt% 的电解质和20wt%炭黑)。
图 2A 显示了从不同温度获得的 Li3YCl6 的相应阿伦尼乌斯图。活化能 (Ea) 由 Arrhenius 方程 计算。Li3YCl6 在不同退火温度下的室温离子电导率和相应的活性能量如图 2B 所示。其离子电导率随着退火温度的升高而增加,但在 500 ℃ 后降低。在 500 ℃ 下获得 0.345 mS cm-1 的最高室温 (RT) 离子电导率,最低活化能为 0.39 eV(图 2B)。图 2C 显示了通过直流 (DC) 分析对 Li3YCl6 的电子电导率的评估。计算出 1.51 × 10-9 S cm-1 的低电子电导率(图 S7)。图 2D 展示了含 20% 碳的 Li3YCl6 的稳定电化学窗口为 0.65 至 4.25 V(相对于 Li+/Li),说明Li3YCl6可以承受超过 4 V 的高压正极材料。在阳极侧,由于 Y3+ 容易被还原,Li3YCl6 对锂金属在热力学上不稳定。但是,只要建立稳定的界面,还是可以使用锂金属负极来发展全固态电池的。

图3. 通过湿化学法合成的 Li3ScCl6 和 Li3ErCl6 的结构、电化学和形态分析。 (A) 湿化学法合成的 Li3ScCl6 的慢扫描 XRD 谱和 Rietveld 精修结果。(B) 通过湿化学法和共熔法合成的 Li3ScCl6 的阿伦尼乌斯图。(C) 湿化学法合成的 Li3ScCl6 的 SEM 图像。(D) 湿化学法制备的 Li3ErCl6 的慢扫描 XRD 图和 Rietveld 精修结果。(E) Li3ErCl6 与共熔合成的 Li3ErCl6 相比的阿伦尼乌斯图。(F) 湿化学 Li3ErCl6 的 SEM 图像。
为了证明这个“铵辅助湿化学”的通用性,通过湿化学方法进一步合成了 Li3ScCl6、Li3ErCl6 和 Li3YBr6。图 3A 显示了 Li3ScCl6 的 XRD 图。与Li3YCl6的结构不同,Li3ScCl6属于单斜结构(C2/m,ICSD No.04-009-8885) 由立方密堆积阴离子排列(24)组成。八面体位点中的所有阳离子位点(图 S8)。图 3B 展示了 Li3ScCl6 的阿伦尼乌斯图,其 RT 离子电导率达到 1.25 mS cm-1,相应的活化能为 0.31 eV。Li3ScCl6 的电子电导率仅为 1.38 × 10-9 S.cm-1。图 3C 中的 SEM 图像显示 Li3ScCl6 的尺寸为 200~500 nm。同时,Li3ErCl6 的精修结果(图 3D)显示了 3.7% 的 LiCl 杂质。Li3ErCl6 的 RT 离子电导率为 0.407 mS cm-1,活化能为 0.47 eV,粒径约为 500 nm,如图 3(E 和 F)所示。不仅可以合成氯化物基卤化物电解质,还可以合成溴化物基卤化物电解质。在支持材料(supplementary materials)中,Figure. S10A 展示了高纯度湿化学 Li3YBr6 的精炼结果,其具有 1.08 mS.cm-1 的高离子电导率和 0.34 eV 的低活化能(图 S10B 和 S10C)。Li3YCl6、Li3ScCl6、Li3ErCl6 和 Li3YBr6 的成功合成证明,铵辅助湿化学方法是获得具有亚微米尺寸和良好离子电导率的各种卤化物电解质的通用方法。 此外,先前的研究已经证明不同的合成方法对晶格畸变和原子占有率有很大影响,进而影响离子电导率。然而,微应变对 Li+传输特性的影响尚未被讨论。众所周知,由小尺寸限制或缺陷引起的微应变对纳米材料的局部结构有显着影响,从而在一定程度上影响Li+的传输。由于阳离子的混排也会影响离子导,要理解微应变对Li+传输的影响,就应阳离子混排造成的干扰。为此,湿化学合成得到的 Li3YCl6、Li3ScCl6 和Li3ErCl6 的XRD精修均使用不变的阳离子占位。这样做的目的是为了在不受阳离子混排的干扰的情况下公平地评估局部微应变对离子电导率的影响。为此,作者先通过中子衍射验证了湿化学 Li3YCl6 和湿化学 Li3ScCl6 的晶体结构及其原子占位。研究结果发现,化学合成的Li3ScCl6 具有更长的Sc-Cl 键,因此Li+沿 c 轴的 [octa]-[tetra]-[octa] 传输受到限制,这可能是导致Li3ScCl6 的离子电导率略低的原因(图 3B)。Li3ErCl6 的情况与 Li3YCl6 的情况相同,其c 轴伸长而 a 轴和 b 轴收缩。根据 Williamson-hall plot 方法计算,Li3ScCl6 的微晶尺寸确定为 97.64 nm,微应变为 0.166%。Li3ErCl6 中的微应变为 0.142%,微晶尺寸为 53.32 nm)。相比之下,湿化学方法可能会产生比固态反应方法大几倍的微应变。总的来说,微应变引起的局部结构变化可能有利于锂离子在具有六边形最密堆积 (hcp) 阴离子框架(即 Li3YCl6、Li3ErCl6)的卤化物电解质中沿 ab 平面传输,而在具有立方最密堆积 (ccp) 亚晶格(即 Li3ScCl6、Li3YBr6)的卤化物电解质作用不明显。值得注意的是,这些发现是初步的。但也表明理解局部微应变在固体电解质中的作用是可能可以进一步提高其室温离子电导率。

图4 卤化物电解质和锂金属阳极之间的界面稳定性。(A) Li/Li3YCl6/Li 对称电池的时间分辨 EIS 光谱。(B) Li/Li6PS5Cl/Li3YCl6/Li6PS5Cl/Li 对称电池的时间分辨 EIS 光谱。(C) 对称电池性能比较。(D) 锂金属和 Li3YCl6 之间的混合电子和离子界面。(E) Li3YCl6 和 Li 之间的 Li+-导电界面由 Li6PS5Cl 薄层实现。
迄今为止,由于锂金属和卤化物电解质之间的不相容性,基于卤化物电解质的全固态锂金属电池 (ASSLMB) 很少被报道。为了解决这个困境,采用了最常见的策略——界面修改。根据之前的研究,硫化物电解质对锂金属表现出优异的稳定性。事实上,硫化物电解质对锂金属不是热力学稳定的,但是,锂金属和 Li6PS5Cl 之间的自限反应可以生成由 Li2S、Li3P 和 LiCl 组成的稳定界面,构建 Li+导电界面。因此,通过插入薄层 Li6PS5Cl 在卤化物电解质和锂金属之间构建稳定的 Li+ 导电界面是合理的。图 4A 显示了 Li/Li3YCl6/Li 对称电池随时间变化的 EIS。高频处的半圆对应于 Li3YCl6 体相电阻。随着时间的增加,另一个中频半圆出现并扩大,表明Li/Li3YCl6界面处正在生长新的界面。这种现象是合理的,因为 Li3YCl6 很容易被锂金属还原,形成具有高电子导电性的 Li3Y 合金(图 4D)。因此,Li3YCl6/Li 界面是混合的 Li+/e-导电界面,导致 Li3YCl6 在 Li+电镀/剥离过程中不断被还原。为了防止形成不利的混合 Li+/e-导电界面,在 Li3YCl6/Li 界面处插入了一层薄薄的高导电性Li6PS5Cl。图 4D 显示了 Li/Li6PS5Cl/Li3YCl6/Li6PS5Cl/Li 对称电池的 EIS 曲线。相比之下,中频半圆不存在,表明卤化物电解质与锂金属之间的界面反应被成功抑制。然而,总阻抗仍随时间增加,表明 Li6PS5Cl 与锂金属之间发生了界面反应。考虑到 Li6PS5Cl 较窄的电化学窗口,即使没有电化学过程,Li6PS5Cl 也会自发地与金属锂反应,生成 Li2S、Li3P 和 LiCl。Li3P 是高度 Li+导电的,而 Li2S 和 LiCl 是电绝缘的(图 4E)。因此,Li6PS5Cl 和锂金属之间形成的界面是一种优异的 Li+导电界面,在 ASSLMB 中非常受欢迎。图 4C 比较了 Li/Li3YCl6/Li 和 Li/Li6PS5Cl/Li3YCl6/Li6PS5Cl/Li 对称电池在 500 小时内的 Li+ 电镀/剥离行为。Li/Li3YCl6/Li 的过电位逐渐增加到 600 mV 左右。与此形成鲜明对比的是,Li/Li6PS5Cl/Li3YCl6/Li6PS5Cl/Li 可以稳定循环长达 500 小时,过电位小于 100 mV。此外,X 射线光电子能谱 (XPS) 分析循环后的 Li3YCl6/Li 界面和 Li3YCl6/Li6PS5Cl/Li 界面(图 S14)。XPS 分析证实,Li3YCl6 在循环 100 小时后被锂金属还原或分解,这是在电镀/剥离过程中观察到的过电位增加的原因。而Li6PS5Cl/Li界面变成了由 Li2S、LiCl 和 Li3P 组成的单独离子导电界面,有效地阻挡了界面上的电子,从而很好地稳定了 ASSLMBs 的阳极界面。

图5. 基于卤化物电解质的 ASSLMB 的电化学性能。 (A) ASSLMBs 示意图。(B) 室温下 0.1C 下 ASSLMBs 的初始充电/放电曲线(2.6V-4.2V vs Li+/Li)。(C) ASSLMBs 的循环稳定性。(D) RT 和 60℃下的倍率性能。(E) 配置 SC-NMC622 的 ASSLMB 的速率性能| Li3ScCl6|Li6PS5Cl|Li 在室温下(2.8V ~ 4.4V vs Li+/Li)。
由于成功构建了卤化物电解质和锂金属之间的稳定界面,可以制造基于卤化物电解质的 ASSLMBs。图 5A 说明了基于卤化物的 ASSLMB 的结构,其中 Li6PS5Cl 薄层插入 Li3YCl6 和锂金属阳极之间以形成稳定的阳极界面。值得注意的是由于 Li3YCl6 的高氧化稳定性(> 4.25 V vs. Li+/Li),在这里LiCoO2 (LCO)的表面并未做包覆处理。图5B显示了ASSLMBs在0.1 C下的初始充放电曲线,放电容量为139.1 mAh g-1,初始库仑效率高达98.1%。高 CE 归因于使用锂金属作为阳极,与纯铟 (In) 箔或 Li-In 合金不同,它可以提供任何缺乏的锂离子。图 5C 显示了 ASSLMB 的循环稳定性。它在 50 次循环后平均保持 118.5 mAh g-1 的容量和 ~99.3% 的高 CE。图 5D 展示了 ASSLMB 的速率性能。由于 Li3YCl6 的离子电导率有限,RT 倍率性能有限,但在 60 ℃的升高测试温度下显示出更好的倍率性能。在 1C 的电流倍率下提供 58.6 mAh g-1 的放电容量,这表明不仅固-固接触而且固体电解质的高离子电导率对 ASSLMB 的倍率性能至关重要。为了验证这一猜想,进一步测试了基于 Li3ScCl6 的 ASSLMBs 的倍率性能(图 5E),其中选择单晶 LiNi0.6Mn0.2Co0.2O2(SC-NMC622)作为活性材料,因为它具有良好的机械完整性和离子动力学。由于 Li3ScCl6 (1.25 mS cm-1) 的高离子电导率,SC-NMC622| |Li3ScCl6|Li6PS5Cl|Li 全固态锂电池显示出 166.9 mAh g-1 的高初始容量和 85.6% 的 首次库伦效率。在室温下,ASSLMB 在 1C 下保持 81.1 mAh.g-1 的容量,在 2C 下保持 38.6 mAh g-1 的容量。100 次循环后容量在 0.2C 时保持在 85.9 mAh g-1。
【结论】 总之,铵辅助湿化学是合成各种亚微米尺寸固态卤化物电解质的通用策略。获得的卤化物电解质可以表现出不错的室温离子电导率(高达 1.25 mS cm-1)。此外,采用硫化物电解质薄层可有效防止卤化物电解质与锂金属之间的阳极界面反应。因此,基于卤化物固态电解质的全固态锂金属电池展示了优异电化学性能。这项工作从材料合成和界面设计这两个角度为开发具有高能量密度的卤化物基全固态锂金属电池提供了可行的策略。此外,作者也相信可以进一步探索这种通用的铵辅助湿化学以合成其他具有 A3MX6 通式的固态电解质(A = Li、Na;M = 三价金属;X = Cl、Br、I)。

暂无评论
发表评论