文章亮点
1. 提高铂对析氢反应的催化效率对于水分解技术的效率很有意义。氢溢出效应已被应用在新的二元组分 Pt/载体电催化剂的设计策略中。然而,此类二元催化剂通常存在反应路径长、界面屏障不良和合成过程复杂等问题。
2. 在这项工作中,作者报告了一种单相复合氧化物 La2Sr2PtO7+δ ,可以利用多功能催化位点之间的原子级氢溢出效应,实现酸性介质中的高性能析氢电催化剂。
3. 通过综合实验和理论计算,作者发现整个析氢途径分为三个步骤:O 位点上的快速质子吸附;通过热中性 La-Pt 桥位点,氢从 O 位点轻松迁移到 Pt 位点;以及在 Pt 位点有利的 H2解吸。
4. 受益于该催化过程,所得到的 La2Sr2PtO7+δ在 10 mA cm-2 时表现出 13 mV 的过电势,22 mV dec-1的塔菲尔斜率,提升的本征活性,和比商业 Pt 黑催化剂更出色的耐久性。
前言导读
日益严重的环境问题,化石燃料的加速枯竭引起了人们对可再生能源(例如太阳能和风能)的极大关注。为了克服可再生能源的间歇性,一个有吸引力的策略是以化学键的形式将能源存储在某些分子燃料中。在各种化学燃料中,凭借其高重量能量密度和无碳特性,氢 (H2) 有望成为未来化石燃料的可持续能源替代品。因此,寻找一种高效制氢的方法对于未来的氢经济至关重要。
由可再生能源驱动的电化学水分解为高纯度的清洁氢气生产,提供了一种具有成本效益的方法。酸性固体聚合物电解质中的水分解比碱性电解更有效,因为它具有一些明显的优势,例如更高的能源效率、更高的电流密度和更紧凑的系统设计。作为水分解中的阴极反应,析氢反应 (HER) 动力学比较缓慢,因此需要高效的电催化剂来加快反应速度。目前,研究人员研究了许多用于 HER 的非铂材料,但金属铂 (Pt) 仍被认为是酸性介质中 HER 电催化剂的“圣杯”,因为其起始过电势接近于零,并且具有快速的动力学特性和有利的氢结合能。然而,Pt的稀缺性、高成本和较差的耐用性限制了水电解槽的大规模商业应用。因此,有必要提高 Pt 对 HER 的本征催化能力和利用效率。
迄今为止,研究人员已经设计了许多 Pt 基酸性 HER 催化剂。例如,通过尺寸、成分、形态和晶相工程策略来提高Pt 金属的催化效率。此外,将 Pt 与另一种组分杂化,也可以通过氢溢出现象实现高性能 HER 电催化剂。换句话说,氢溢出为提高二元金属/载体催化剂的 HER 活性开辟了新的机会,这些催化剂具有富氢 Pt 纳米晶体和缺氢组分,如 WO3-x、SiO2、RuCeOx、CoP。如图 1a 所示,基于氢溢出的二元催化剂 (HSBCC) 涉及三个主要步骤:(1) 金属上的强质子 (H+) 吸附(例如,具有 ΔGH-metal < 0 的 Pt),(2) 从金属到载体的界面 H 扩散和溢出,以及 (3) H2在载体上的有效解吸 (ΔGH-support > 0)。
尽管如此,由于两个组分(例如肖特基势垒和不匹配的晶格空间)之间的长反应路径和界面电阻,HSBCC 系统中的氢溢出过程仍需要克服相当大的障碍。此外,HSBCCs 总是受到复杂的合成过程的困扰,这不利于降低成本效益以及大规模制造。鉴于单组分催化剂的短反应路径和无界面特征,在基于氢溢出的单组分催化剂(HSSCC)系统中同时创建原子级多催化位点,用于强 H+ 吸附、热中性 H 吸附和容易的 H2 解吸(如图 1b 所示),对于提高酸性HER活性是非常必要的;然而,迄今为止,还没有报道过这种单相催化剂。
图文速读

图 1:在酸性 HER 的两种催化剂体系上的氢溢出示意图。 a 传统的基于氢溢出的二元催化剂(HSBCC) 系统,通过将富氢 Pt 基纳米晶体与缺氢组分组合而成。红色球代表 Pt 原子,蓝色和灰色球代表化合物。 b 具有原子级多催化位点的基于氢溢出的单组分催化剂(HSSCC)系统。红色、蓝色和灰色球分别代表强 H 吸附、热中性 H 吸附和容易的 H2 解吸位点。

图 2:晶体结构和形态表征。a La2Sr2PtO7+δ 的精细 XRD 谱。 b La2Sr2PtO7+δ结构示意图。 c La2Sr2PtO7+δ的沿 [-110] 方向的 SAED 图案和 d 对应的 HRTEM 图像。 e La2Sr2PtO7+δ的 HAADF-STEM 和相应的元素mapping图像。 c中的比例尺为2 nm-1,d中的比例尺为2 nm,e中的比例尺为100 nm。

图 3:电子结构表征。 a La2Sr2PtO7+δ 和 Pt 黑的高分辨率 Pt 4fXPS 光谱。 b La2Sr2PtO7+δ 和 Pt 箔的 Pt L3-edgeXANES 光谱和 c k3加权傅里叶变换 EXAFS光谱。 d La2Sr2PtO7+δ 和 e Pt 箔的 k3加权 EXAFS 光谱的小波变换。 f La2Sr2PtO7+δ和 Pt 黑的 H2-TPD 曲线。

图 4:酸性HER 电催化性能。 a La2Sr2PtO7+δ和Pt黑在Ar饱和的0.5 M H2SO4溶液中的极化曲线,扫描速率为5 mV s−1。 b La2Sr2PtO7+δ和 Pt 黑的 Tafel 图。 c La2Sr2PtO7+δ 和其他的出色 Pt 基催化剂的 HER 活性比较。La2Sr2PtO7+δ和 Pt 黑的d ECSA 和 e RSA归一化比活性。插图:η = 0.05 V 过电位下的比活性。f 在 0.5 M H2SO4 溶液中,La2Sr2PtO7+δ和 Pt 黑的TOF 与测试电位之间的关系。 g La2Sr2PtO7+δ 初始极化曲线,以及 10、100 和 1000 次循环后的极化曲线。 h Pt 黑在最初和 1000 次循环后的极化曲线。 i在 -0.05 V vs RHE时, La2Sr2PtO7+δ和 Pt 黑在初始和 1000 次循环后的电流密度比较。 j 在 10 mA cm-2 的恒定阴极电流密度下,La2Sr2PtO7+δ和 Pt 黑的计时电位响应。

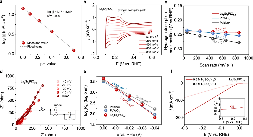
图 5:氢溢出的实验证据。 a 在 -0.03 V(相对于 RHE)时,log |j| 相对于 pH 值的线性图。 b 在Ar饱和0.5 M H2SO4中, La2Sr2PtO7+δ催化剂的CV曲线,扫描速率为50至850 mV s-1。 c Pt 黑、Pt/WO3和La2Sr2PtO7+δ催化剂的氢解吸峰位置与扫描速率的关系图。 d La2Sr2PtO7+δ催化剂在不同HER过电位下的奈奎斯特图。散点符号代表实验结果,实线为模拟拟合结果。插图还显示了模拟的等效电路。 e 从氢吸附阻力 R2获得的 Pt 黑、Pt/WO3和 La2Sr2PtO7+δ 催化剂的 EIS 衍生 Tafel 图。 f La2Sr2PtO7+δ催化剂在 0.5 M H2SO4 和 0.5 M D2SO4水溶液中的极化曲线。插图是动力学同位素效应值与电位的关系。

图 6:DFT 计算。 a La2Sr2PtO7+δ的具有不同末端的 (001) 平面模型和优化的结构。黄色、红色、灰色、浅绿色和深绿色球分别代表 H、O、Pt、La 和 Sr。 b 在La2Sr2PtO7+δ 和 Pt (111)上,不同催化位点吸附氢的吉布斯自由能图。 c La2Sr2PtO7+δ的氢迁移/溢出过程的动力学势垒。(IS 初始状态,TS 过渡状态,FS 最终状态)。 d 在 La2Sr2PtO7+δ上,HER的 Heyrovsky 步的自由能分布(有和没有氢迁移/溢出)。 e La2Sr2PtO7+δ氧化物上的原子级氢溢出催化酸性HER的示意图。
总结
在这项工作中,作者通过简便且可扩展的固态反应方法,成功合成了在酸性介质中具有优异 HER 性能的单相复合氧化物 La2Sr2PtO7+δ。在 0.5 M H2SO4溶液中,La2Sr2PtO7+δ 表现出优异的 HER 活性,在 10 mA cm-2的电流密度下具有 13 mV 的超低过电势以及 22 mV dec-1 的小 Tafel 斜率,超越了现有的 Pt 基催化剂。此外,相对于商业铂黑,La2Sr2PtO7+δ具有明显提升的本征活性和耐久性。通过结合 DFT 模拟和实验,La2Sr2PtO7+δ 在酸中的高 HER 催化活性可能是由于多个催化位点之间不寻常的原子级氢溢出效应,即 O 位捕获质子,H从 O 位扩散到 Pt 位(以热中性 La-Pt 桥位作为介质),和 H2在 Pt 位上有利地释放。该概念不仅为La2Sr2PtO7+δ 内的酸性 HER 的氢溢出提供了原子水平的理解,而且还为通过构建多功能催化位点来设计先进的电催化剂开辟了新途径。

暂无评论
发表评论