生活中我们常用一句话形容对美食的热爱“世间万物,唯爱和美食不可辜负”。每当夏季傍晚降临之时,随处可见这样一幅场景,街头的人们纷纷围坐在小桌椅旁,散发着浓浓的烤肉香味四处弥漫,再开两三瓶冰镇啤酒,大块朵颐的享受着烧烤带给人们的满足感。再比如甜品店中一个个金黄酥脆的蛋糕,看见它们便让人食物大增,那么为什么这些食物总是让我们欲罢不能呢?经过查阅资料,原来生活中我们所吃的油炸食品以及高温烘培的食物,在制作的过程中发生了非酶褐变反应,接下来我们来了解一下非酶褐变反应之一的美拉德反应。

图1. 蛋糕店中的甜品(来源网络)
1 美拉德反应的发现
美拉德反应最早是在1912由法国化学家美拉德偶然发现的,在他读博士期间,他发现甘油和氨基酸在170°C下脱水产生多肽,于是他大胆提出假设,将甘氨酸和葡萄糖溶液共热,以期合成甘氨酸多肽。结果发现葡萄糖和甘氨酸共热时发现溶液的颜色会变成深褐色,冒出气泡,并且产生类似烤面包和烤肉的香气,并没有生成自己所期望的甘氨酸多肽,随后他对其进行了详细的研究,该反应因此以他命名。当时的美拉德对该反应机理过程百思不得其解,经过了几十年科学家们的研究发现该反应竟然和我们日常生活中食物的美味有关。美拉德反应是一种复杂的有机化学反应,主要是指含有氨基化合物(如蛋白质、氨基酸等)和还原糖、醛、酮等含有羰基化合物之间发生一系列复杂的加缩反应生成褐色多聚化合物(类黑素)的反应,在生成类黑素的同时,还伴随生成了超过3500种挥发性化合物,这些物质给予食物独特的风味。生活中我们看到的酱油的棕黑色、红烧肉的褐色,烤肉的风味、面包外皮的金黄色以及浓郁香气都离不开美拉德反应。

图2. 法国化学家L.C.Maillard(来源网络)
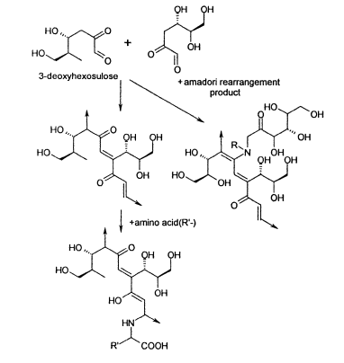
经历几代科学家们共同的努力,人们提出了较为完整的美拉德反应机理过程,科学家将美拉德反应可分为三个阶段,早期阶段:还原糖和氨基化合物经历缩合及分子重排,该过程中的产物并不会对食物的香味和颜色产生变化。中期阶段:该阶段的反应会涉及脱水或脱氨反应、糖裂解反应、Strecker降解反应,经过一系列复杂的反应会开始生成无氮及含氮褐色可溶性化合物。终极阶段:该阶段会发生两类反应,一种是醇醛缩合,一种是前阶段所生成的产物经过进一步缩聚反应生成类黑素。

图3. 类黑素形成机理图(来源于文献)
2 美拉德反应在食品工业中的应用
由于美拉德反应的结果可以使得食物颜色加深,在食品工业中生产酱油时,我们可以通过控制加工温度,防止其颜色过深。在烘培面包时,为了使得面包表皮颜色不至于焦黑,我们可以在和面过程中要控制好还原糖和氨基酸的添加量及加热温度。我们也可以通过美拉德反应来生产各种不同的香精,通过控制原材料和加工过程制备不同的风味物质,如半胱氨酸及谷胱甘肽在与核糖反应后会分别产生烤猪肉香味和烤牛肉香味。木糖和酵母水解蛋白分别在90℃及160℃反应会分别产生饼干香味和酱肉香味。撷氨酸和葡萄糖在加热至100℃到150℃时产生黑面包香味,而当温度升至180℃时则闻到巧克力香味。并且研究表明美拉德反应中的一些产物,如还原酮、促黑激素释放素、以及一些含有N、S的杂环化合物具有一定的抗氧化作用,木糖与赖氨酸、二羟基丙酮与组氨酸、壳聚糖和葡萄糖等的氧化产物都有很好的抗氧化作用,甚至有些物质的抗氧化性与合成抗氧化剂功效不相上下。

图4. 色香味全的烤肉(来源网络)
虽然美拉德反应为食物带来美好的味道及独特的色泽,然而它也会负面作用,比如在制作一些乳制品时,婴儿奶粉中含有人体必需的赖氨酸,但是奶粉中的乳糖可与它发生反应使其降解,并且在杀菌温度控制不当,也会发生美拉德反应,并使得奶粉颜色加深。由于类黑精可以与一些金属发生螯合,在一定程度上也会影响我们对微量元素的吸收。除此以外,在对一些富含天门冬氨酸的食物进行高温烹饪时,可能会产生具有神经毒性及致癌物质丙烯酰胺,危害人体健康。人体血糖过高时,葡萄糖与蛋白质发生反应,会产生活泼的二羰基化合物,修饰蛋白质产生糖基化产物,使视网膜和肾小球硬化,导致典型的糖尿病并发症。因此,在一定情况下,我们需对美拉德反应有所抑制。
3 影响美拉德反应的因素
从上文种的讲述,我们可以知道美拉德反应虽然可以让食物变得色香味俱全,但是该反应在特定情况下还存在着一定的负面影响,为了对美拉德反应有所抑制,我们需要了解都有哪些因素会影响反应的发生,美拉德反应的主要因素有加热温度、水分活度、加热时间、PH等,其中该反应受加热温度的影响较大,当反应体系温度升高10℃,褐变反应可以增加3到5倍,过高温度会使得氨基酸和糖类分子结构被破坏,因此通常控制温度在180℃以下,100到150℃最佳,对容易褐变的反应进行低温储存。其次水分活度对美拉德反应的影响也很明显,食品中水分含量过高和过低都不宜发生美拉德反应,其中最适宜的的水分含量范围大致在15%~80%之间。加热时间过长的结果通常是改变了食物的风味特征,反应时间过长产物的香味会发生恶化,让人难以接受。并且PH对美拉德反应的影响也是显著的,当PH在3以下时,褐变反应程度较低,环境处于酸性条件下,反应速率不高,当PH范围在6~9内 , 随着PH上升,褐变反应速度上升,其主要是因为出现了氨基,因此我们可以通过降低PH来抑制反应发生程度。除了以上的抑制方法以外,生产中也常使用褐变抑制剂,吸附剂等。
4 科学认识流言
生活中,我们经常听到周围人说要少喝咖啡,少吃油炸膨化食品,这些食物不健康,含有致癌物质。其实这句话的根据来源就是美拉德反应,还原糖和天冬酰胺的氨基酸发生美拉德反应时,会产生一种叫丙烯酰胺的副产物,根据世界卫生组织规定,将致癌物质分为了四个级别,其中丙烯酰胺处于2A级致癌物,丙烯酰胺(C3H5NO)在食品工业中可做添加剂、颜料的分散剂、印染糊剂,对于该物质的致癌性研究大多数来源于动物实验,发现饮食上摄入丙烯酰胺与甲状腺瘤,乳腺瘤等有一定的正向关系。但是我们也不必谈癌色变,只要控制在安全剂量内就无大碍。研究表明当人体每日每千克体重摄入2.6μg-16μg丙烯酰胺时,就会有罹患癌症的风险,然而一杯160ml咖啡平均的丙烯酰胺含量为0.45μg,体重55kg的成年人至少每天需喝318杯咖啡才可能产生致癌的风险。由此可见,咖啡完全可大胆饮用,丙烯酰胺的存在条件与日常生活密不可分,我们不必恐慌,只要适当改变烹饪手法,健康饮食,便不会对我们的身体健康产生影响。
美拉德反应作为食品加工过程中产生风味所必需的反应之一,我们有必要了解该反应在日常烹饪中对食物的影响,从而更有利人们在满足色香味俱全的同时营养价值也能更丰富。

暂无评论
发表评论